Charts

The Charts section to export the outputs as a chart in a Microsoft Excel spreadsheet. The following chart types are available:

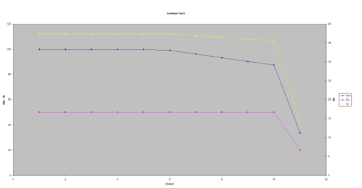
Schedule chart

This type of chart will allow you to display the QM-QC and QR quantities for each period in the scheduling.

Figure 1: Schedule Chart

Profits chart

This type of chart will allow you to display the cash flow for each period in the scheduling.

Figure 2: Profits Chart

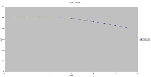
Cut-Off Schedule chart

This type of chart will allow you to display the cutoff for each period in the scheduling.

Figure 3: Cut-Off Schedule Chart

The following options are only available when one or more chart types have been selected. If a chart type has not been chosen, then these options will be unavailable.

Show data table

Select this check box to display each value in the graph.

Set in new sheet

Select this check box if you want the resulting chart to be created in a separate worksheet. If this check box is not checked, then the resulting chart and report displays in the same worksheet.

Resulting Excel file name

Enter the name of the Microsoft Excel file (.xls) that will be used to store the resulting chart. The drop-down list displays all .xls files found in the current working directory. Click Browse to select a file from another location.

To create a new file, enter the file name and file extension.


Related topics